Skip to contents

Given multiple histograms represented as "histogram" S3 objects with common breaks, compute their Fréchet (geometric) median under the 2-Wasserstein distance. In 1D, this is implemented by mapping histograms to their quantile functions and running a Weiszfeld-type algorithm for the geometric median in the Hilbert space of quantile functions.

Usage

histmed(hists, weights = NULL, L = 2000L, ...)

Arguments

hists

a length-\(N\) list of histograms ("histogram" objects) with identical breaks.

weights

a weight for each histogram; if NULL (default), uniform weights are used. Otherwise, it should be a length-\(N\) vector of nonnegative weights.

L

number of quantile levels used to approximate the median (default: 2000). Larger L gives a more accurate approximation at increased computational cost.

...

extra parameters including

abstol

stopping criterion for iterations (default: 1e-8).

maxiter

maximum number of iterations (default: 496).

print.progress

logical; whether to show current iteration (default: FALSE).

Value

a "histogram" object representing the Wasserstein median.

Examples

# \donttest{
#----------------------------------------------------------------------
#                      Binned from Two Gaussians
#
# Generate 12 histograms from N(-4,1/4) and 8 from N(4,1/4)
#----------------------------------------------------------------------
# COMMON SETTING
set.seed(100)
bk = seq(from=-10, to=10, length.out=20)
n_signal = 12

# GENERATE HISTOGRAMS WITH COMMON BREAKS
hist_all = list()
for (i in 1:n_signal){
  hist_all[[i]] = hist(stats::rnorm(200, mean=-4, sd=0.5), breaks=bk)
}












for (j in (n_signal+1):20){
  hist_all[[j]] = hist(stats::rnorm(200, mean=+4, sd=0.5), breaks=bk)
}









# COMPUTE THE BARYCENTER AND THE MEDIAN 
h_bary = histbary(hist_all)
h_med  = histmed(hist_all)

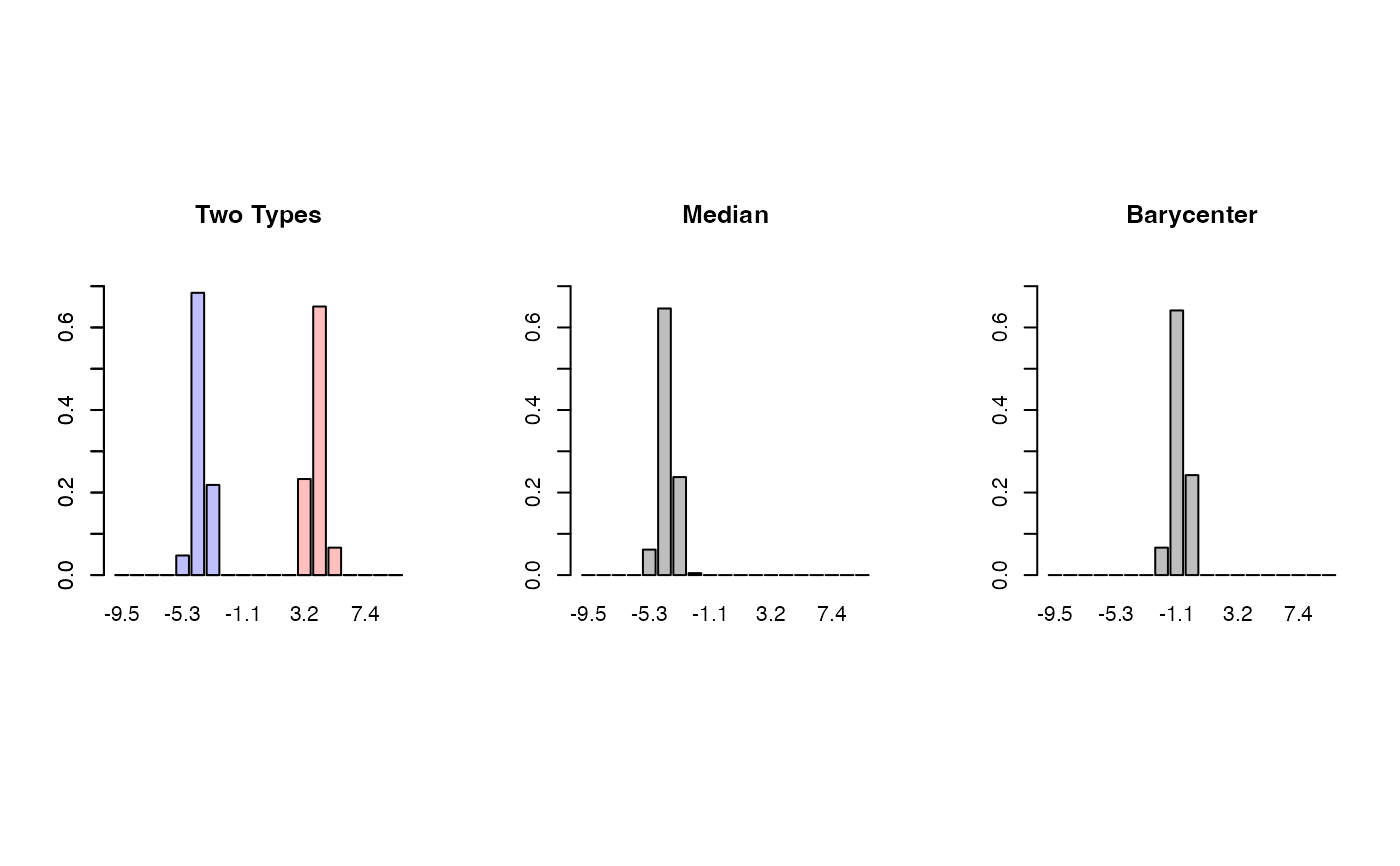
# VISUALIZE
xt   <- round(h_med$mids, 1) 
opar <- par(no.readonly=TRUE)
par(mfrow=c(1,3), pty="s")
barplot(hist_all[[1]]$density, col=rgb(0,0,1,1/4), 
        ylim=c(0, 0.75), main="Two Types", names.arg=xt)
barplot(hist_all[[20]]$density, col=rgb(1,0,0,1/4), 
        ylim=c(0, 0.75), add=TRUE)
barplot(h_med$density,  names.arg=xt, main="Median", ylim=c(0, 0.75))
barplot(h_bary$density, names.arg=xt, main="Barycenter", ylim=c(0, 0.75))

par(opar)
# }